English
 找回密码
 立即注册

Article Recommended Reading|Sol. Energy Mater. Sol. Cells: Radiative cooling film with self-cleaning function provides a new solution for outdoor energy-free cooling

Anatoly 2025-11-1 21:20 60423人围观 SOL

Under the global energy crisis and the demand for low-carbon development, radiant cooling technology that can cool objects without consuming energy has become a research hotspot in the field of refrigeration. However, dust on the surface during long-term
Under the global energy crisis and the demand for low-carbon development, radiant cooling technology that can cool objects without consuming energy has become a research hotspot in the field of refrigeration. However, dust on the surface during long-term outdoor use will seriously weaken its cooling performance. This pain point has always restricted the implementation of technology. The team of Zhai Qingwei and Zhu Qunzhi of Shanghai Electric Power University has developed a self-cleaning radiant cooling film with the structure of "PDMS-SiO₂ composite coating + PDMS-Al bottom layer". Through precise structural optimization and process innovation, it simultaneously achieves efficient radiant cooling and super self-cleaning performance, providing a new solution for energy-free cooling in the fields of construction, photovoltaics and other fields!
picture



1. Double-layer structure design: taking into account both cooling and self-cleaning

The research team adopted a double-layer structure design of "top functional coating + bottom reflective layer" (Figure 1) and achieved performance breakthroughs through collaborative optimization of multiple methods. The top layer uses polydimethylsiloxane (PDMS) as the base, mixed with SiO₂ particles of different particle sizes, and uses the particle coating method to build a superhydrophobic surface, giving the material self-cleaning capabilities. ; The bottom layer is composed of PDMS and Al film. The thickness is optimized through the transmission matrix method (TMM) to enhance the reflection of sunlight and reduce heat absorption. This structural design not only ensures the spectral selectivity required for radiative cooling, but also prevents surface dust accumulation through superhydrophobic properties.

Figure 1: Schematic diagram of self-cleaning radiant cooling film structure

2. Microscopic control: unlocking superhydrophobicity and high cooling performance

Scanning electron microscopy (SEM) observation found (Figure 2) that the top layer of SiO₂ particles was dissolved in tetraethoxysilane to form a large number of pores, which were combined with PDMS to build a rough surface structure. This morphology not only reduces the surface energy of the material, but also provides structural support for the superhydrophobic performance. The contact angle test (Figure 3) shows that the maximum contact angle on the film surface reaches 164.45°, far exceeding the super hydrophobic standard of 150°. Water droplets can easily roll off and take away surface dust, effectively solving the problem of outdoor dust accumulation.

Figure 2: SEM images of film surface at different magnifications

Figure 3: Water contact angle test chart on film surface

3. Performance breakthrough: Both theory and experiment prove the refrigeration effect

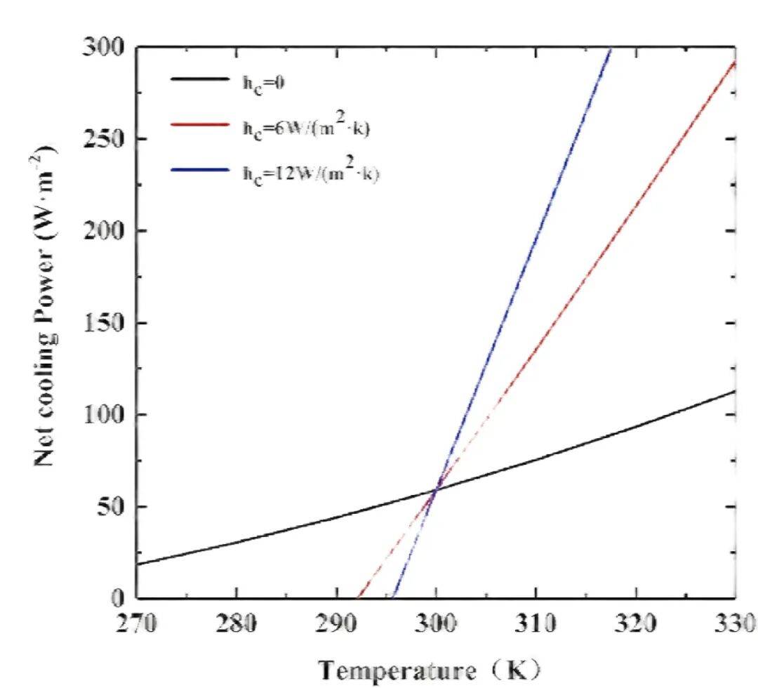
Theoretical calculations and outdoor experiments have confirmed the excellent radiative cooling performance of the film: under the American standard atmospheric model, the net cooling power of the film can reach 59.04 W/m² through FDTD simulation calculation, and the net cooling power difference under different atmospheric models is 24.36 W/m² (Figure 4); Outdoor field tests show that this self-cleaning radiant cooling film can reduce the temperature of objects by 2.1°C during the day and 3.44°C at night. The cooling effect is better than that of a simple PDMS/Al double-layer film, and the surface is not prone to dust accumulation, and its long-term performance is stable.



Figure 4: Net cooling power changes with temperature under the American standard atmosphere model

Through "structural design + process optimization", this research combines self-cleaning function with radiant cooling technology for the first time, solving the pain points of traditional radiant cooling materials that are easy to accumulate dust and have high maintenance costs. The preparation process is simple and cheap, the raw materials are easy to obtain, and it has wide application potential in the fields of building exterior walls, photovoltaic module cooling, and outdoor equipment temperature control.




picture
Title: Radiative cooling film with self-cleaning function
Author: Qingwei Zhai, Qunzhi Zhu
Journal: Solar Energy Materials & Solar Cells
DOI:https://doi.org/10.1016/j.solmat.2021.111117

精彩评论0
我有话说......
TA还没有介绍自己。