
※Lanyang Shaoqing’s Bookstore Click on the blue text to follow our news overview. According to data provided by Coinglass, in the past 24 hours, the total liquidation amount of the entire cryptocurrency market reached US$465 million. Among them, the liqui...
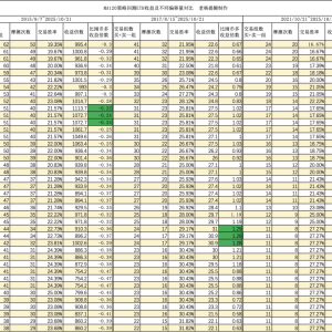
After I wrote the BTC article "How to Sell - MA120 Strategy Backtest and Offset Setting" last time, many friends wanted me to calculate ETH, so I came up with this article. 1. Let’s talk about the difficulty of MA120 execution. First of all, I want to tal...
When a listed company suddenly sells 40 million US dollars worth of ETH and announces a 250 million US dollars stock repurchase plan at the same time, this is by no means a simple capital operation. What kind of strategic intentions are hidden behind this...
BTC 30-minute K-line chart ET 30-minute K-line chart view The current market shows a differentiated pattern: ETH is in [range oscillation], the direction needs to be chosen; BTC is in a [downtrend] and bears are dominant. The technical forms and market co...
The market is like a tug-of-war. Now, two heavyweight players suddenly come to the short side, while there is news of teammates selling from the long side - the rope is moving in the direction of the short side! Is today's ETH drama a desperate counteratt...
Ethereum has just fallen below the $4,100 mark, with an intraday drop of 1.76%. This news has made countless investors nervous. But don’t rush into panic selling, let’s analyze the truth behind this decline in depth! Market Current State: Short-Term Corre...
The cryptocurrency market is making waves again! While everyone is following the bullish footsteps of the mysterious whale, an epic showdown is quietly taking place in the Ethereum futures market. A short order of 3464 ETH suddenly entered the market, dir...
Institutions, stakeholders and whales gather together... Can ETH's bullish triangle withstand market weakness? Who is driving the development of Ethereum? The number of addresses holding 10K-100K ETH expanded to 31 million, consistent with the whale patte...
As of October 28, 2025, the Ethereum (ETH) market shows the following characteristics: 1. Price range and key support - ETH has recently fluctuated within the 3,9004,200 range, with 3,900 being the key support level. - It tested above 4,000 several times ...
I don’t know what to do in the bull market. Welcome to scan the code to join the group for free. The spot password of the bull market and the layout strategy can be shared for free. Welcome to private message me to join us. You can add Penguin account: 38...
Hello, friends in the crypto circle~ It’s time for daily industry updates! The regulatory landscape is facing key changes, many popular ETFs are being launched intensively, airdrops and new products are constantly being launched. Come and take a look at ...
It is no exaggeration to say that the protagonist of the current encryption market is no longer Bitcoin - Ethereum (ETH) exceeded 300% in half a year The increase reached a new stage high of $4,683, completely igniting the greed in the market! From a low ...
1. Macroeconomic background: Fed interest rate cut expectations and market liquidity improvement Monetary policy shifts to support risk assets The Federal Reserve announced an interest rate cut on October 17 25 basis points to 4.0%-4.25%, and hinted that...
Click on the blue text above · Follow our 2025/10/28 disk analysis of key events in October ETH range oscillation strategy core view: range oscillation, direction pending The technical surface presents conflicting signals: the evening star hints at downsi...
In the currency circle, a field full of opportunities and risks, countless people poured in with dreams of wealth, but many people fell into the sand in the cruel market fluctuations. In 2025, the market volatility in the currency circle is higher than b...